beats365(中国区)-唯一官方网站
首页
beats365官方网站新闻
学术交流
通知公告
关于
beats365官方网站介绍
现任领导
机构设置
本校团队队伍
客座、特聘教授
本校硕士研究生导师
学科
硕士学位点
学科
教育
本科生
研究生
研创
研究机构
员工动态
科研政策
科研成果
科研项目
党建
党建之家
工会之家
员工
员工组织
特色活动
心灵家园
招就
本科生招生
研究生招生
就业创业
招聘信息
交流
交流信息
合作项目
员工
员工风采
您当前所在的位置:
首页
->
招就
->
研究生招生
-> 正文
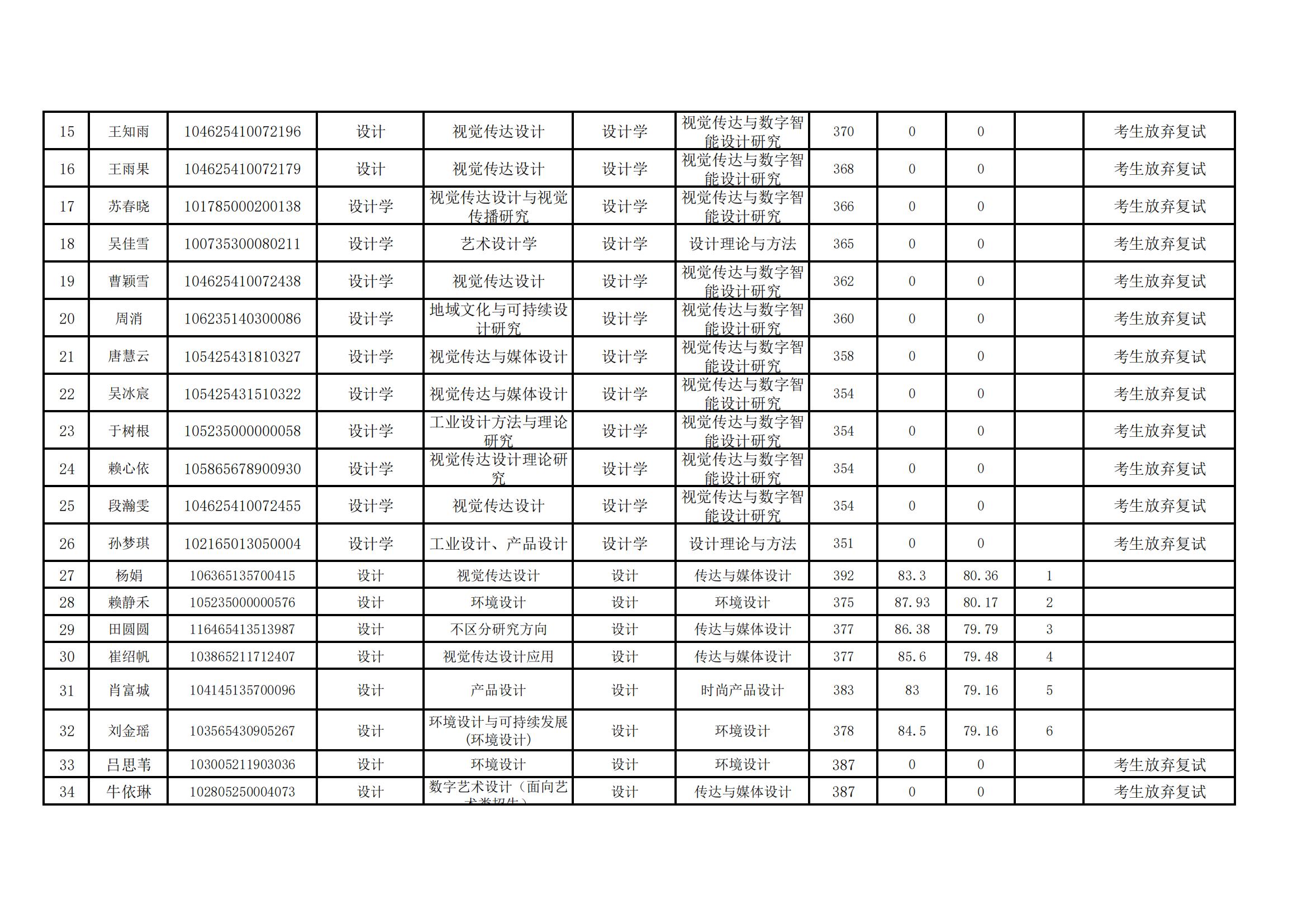
beats365官方网站2025年硕士研究生招生复试结果(调剂)
发布日期:2025-04-14 来源:beats365官方网站 点击量:
附件【
beats365官方网站 2025年硕士研究生招生复试名单和复试结果汇总表.pdf
】已下载
次
上一条:
beats365官方网站2025年硕士研究生招生复试名单(调剂)
下一条:
beats365官方网站2025年硕士研究生招生调剂复试名单